学院新闻近日,我院核物理研究团队参与合成新核素钍-207,并发现了Z>82, N<126核区α衰变能的奇偶效应,相关成果以Letter的形式发表在Physical Review C上。
我院核物理团队成员参与了该成果的实验测量和物理分析等工作。实验基于兰州重离子加速器的充气反冲核谱仪,通过重离子熔合蒸发反应36Ar+176Hf,成功合成出新核素钍-207,并测得其α粒子能量和半衰期分别为8167(21) keV和9.7(+46.6-4.4) ms。此次合成的钍-207是近代物理所合成的第34个核素,是我院核物理研究团队参与合成的第4个新核素。

图1. 207Th和208Th的α衰纲图/图源:PRC
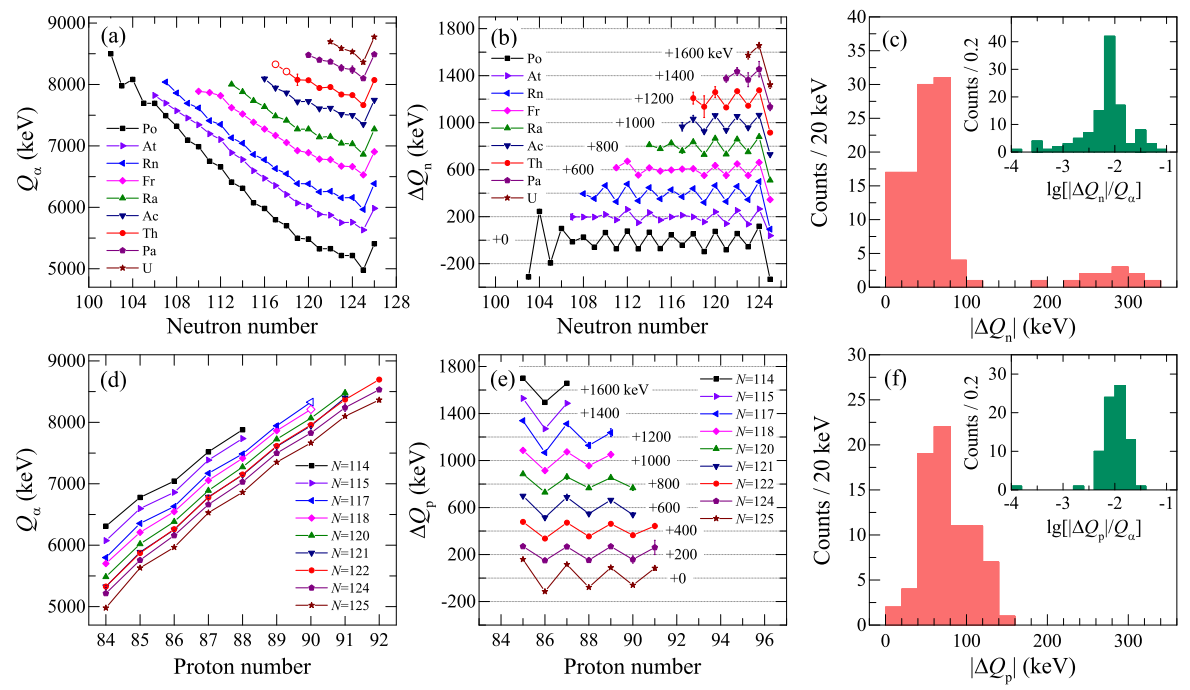
该研究还发现并解释了α衰变能的奇偶效应这一新现象。通过对新测量数据和已有数据进行系统分析,研究人员发现在Z>82,N<126核区,无论是同位素还是同中子素的α衰变能都呈现出规律的奇偶震荡,震荡幅度为20-160 keV。而这一发现与人们通常根据Bethe-Weizsacker公式认为的α衰变能不存在奇偶效应相矛盾,也对于进一步改进原子核质量公式提出了要求。

图2. α衰变能的奇偶效应/图源:PRC
为了探索α衰变能奇偶效应的形成机制,研究人员分别利用了相对论Hartree-Fock-Bogoliubov模型(RHFB)和大规模壳模型(LSSM)对Z>82,N<126核区原子核进行理论分析。RHFB模型计算表明,α衰变能的奇偶效应来自对关联和未配对核子的阻塞效应,其中对关联除了通过对能之外,还通过核子散射来影响衰变能的奇偶震荡。LSSM模型结果显示,α衰变能的奇偶效应是由包含了特别轨道的组态混合引起的。值得注意的是,无论是RHFB模型中的核子散射还是LSSM模型中的组态混合,都超出了平均场的理论框架,且都不包含在经典的Bethe-Weizsacker公式中。
该工作得到了国家重点研发计划、中国科学院战略性先导科技专项、国家自然科学基金等多个项目的支持。
近年来,我院核物理学科发展迅速,理论与实验并重,目前已跻身省内核物理研究最强方阵。核物理研究团队积极主导参与国内外重要科技合作,团队成员也多次访问美国、德国、日本等国科研机构,大大提升了我院的影响力。
参考资料:
H. B. Yang et al. Phys. Rev. C 105 (2022) L051302. https://journals.aps.org/prc/abstract/10.1103/PhysRevC.105.L051302
近代物理所合成新核素钍-207,
https://mp.weixin.qq.com/s/a4_BXAPKjpVcy8OUg0-nYQ